Изучение физиологических механизмов, лежащих в основе адаптации моллюсков к среде — актуальное направление современной экофизиологии. Несмотря на то, что основной тест-системой оценки физиологического состояния двустворчатых моллюсков является гемолимфа, а ее компоненты – гемоциты играют ключевую роль в адаптации и защите моллюсков, эти клетки плохо изучены у гребешка. Исследования по классификации гемоцитов затруднены отсутствием базовых методологий в цитологических, молекулярных и функциональных подходах. Для изучения гемоцитов приморского гребешка Mizuhopecten yessoensis, с помощью транскриптомных исследований сотрудниками лаборатории физиологии были идентифицированы пять молекулярных маркеров-генов, специфичных для гемоцитов. Также были оценены морфология клеток, сезонные изменения в концентрации клеток в гемолимфе и поведение клеток во время иммунного ответа. В настоящее время для изучения гемолимфы планируется адаптировать уже апробированный на другом виде двустворчатых моллюсков протокол фракционирования клеток для разделения субпопуляций гемоцитов с различными морфофункциональными профилями. Полученные результаты вносят вклад в понимание роли гемоцитов в адаптационных механизмах двустворчатых моллюсков, способствовавших их выживанию и процветанию (несмотря на отсутствие специфического иммунитета). Они могут быть использованы для экспериментальной оценки параметров иммунитета двустворчатых моллюсков в норме и патологии.
Повышение эффективности аквакультуры и охрана здоровья водных организмов – две сопряженные проблемы, одним из эффективных способов решения которых является развитие и внедрение современных подходов к ветеринарному контролю за состоянием морских гидробионтов и среды их обитания.
В результате серии работ по оценке состояния здоровья широко распространенного на Дальнем Востоке двустворчатого моллюска – Модиолуса курильского был адаптирован и усовершенствован комплекс методов по оценке биохимического, иммунного, гистологического, инфекционного и инвазионного статуса моллюсков, были установлены границы вариативности гистологических и иммунологических параметров в условиях нормы и при действии различных факторов, включая инфицирование, патологии, загрязнение, паразитарные инвазии, а также сезонные изменения. Для совершенствования методов гистологического анализа сотрудниками Лаборатории физиологии при участии сотрудников ряда других лабораторий ННЦМБ ДВО РАН И ДВФУ было предложено более 20 оригинальных формул оценки гистоморфологических параметров почек и пищеварительной железы моллюсков. Важнейшим итогом проведенных работ является самостоятельно разработанный способ оценки здоровья моллюсков, выраженный в виде интегрального индекса здоровья.
В 2024 г. был проведен массовый скрининг состояния здоровья более 20 промысловых видов двустворчатых моллюсков из акваторий залива Петра Великого Японского моря с различными экологическими условиями с целью определения референсных значений вариативности показателей иммунитета моллюсков, отличающихся как образом жизни, так и местом обитания. Из 11 проанализированных параметров гемолимфы наиболее выраженные и достоверные изменения наблюдались в числе гемоцитов, соотношении типов гемоцитов, их фагоцитарной активности, концентрации активных форм кислорода и концентрации белка плазмы. Наиболее чувствительными к загрязнению видами оказались устрица гигантская, гребешок приморский, модиолус курильский и петушок тихоокеанский, у которых достоверно изменилось большинство из изученных параметров. Полученные результаты могут служить эффективным диагностическим инструментом оценки различных патогенетических процессов у двустворчатых моллюсков из естественных популяций и марикультурных хозяйств.
Изучение патогенов морских гидробионтов является актуальным направлением современных экофизиологических исследований. Среди патогенов двустворчатых моллюсков в настоящее время особую тревогу вызывают недавно обнаруженные и малоизученные паразитические зеленые микроводоросли рода Coccomyxa. Заражение микроводорослями в акваториях для каждого из видов моллюсков носит массовый характер, вызывая у хозяев различные патологии, нарушающие процессы кальцификации раковины, метаболическую активность и репродуктивный цикл, что в свою очередь ведет к значительному отставанию в росте и развитии зараженных особей. За последние 9 лет сотрудниками лаборатории впервые был обнаружен и описан новый вид паразитической микроводоросли Coccomyxa veronica у ранее неизвестного для этого паразита моллюска Anadara broughtonii. Кроме того, коллективом получены и описаны постоянные культуры микроводорослей Coccomyxa parasitica и C. veronica, изучены гистопатологические изменения тканей зараженных двустворчатых моллюсков Modiolus kurilensis и A. broughtonii.

Для лучшего понимания патогенеза инвазии, вызванной C. parasitica, у M. kurilensis было выделено 4 стадии развития заболевания с характерными патогномоничными симптомами, различающихся интенсивностью инфильтрации тканей и органов микроводорослями, интенсивностью иммунного ответа и выраженностью патологий пищеварительной железы и почек. Полученные данные о вариативности показателей гемолимфы в норме и их изменение на фоне развития заболевания могут быть использованы для ветеринарного надзора и контроля за состоянием гидробионтов в природных и аквакультурных популяциях, а также для ограничения распространения возбудителя. В планах на будущее — разработка комплексного подхода к оценке здоровья объектов аквакультуры на основе NGS-технологии, которая позволит проводить массовые популяционные исследования инфекционного и физиологического статуса моллюсков в один шаг секвенирования. На основе уже полученных для ряда промысловых видов моллюсков иммунологических и гистологических данных и их связи с дифференциальной экспрессией генов будет проведен поиск ключевых молекулярных маркеров, являющихся индикаторами функциональной активности клеток и физиологического состояния организма. Будет создана высокоэффективная технология ветеринарной экспресс-диагностики здоровья важнейших объектов аквакультуры, основанная на современных методах клеточной и молекулярной биологии, внедрение которой в практику повысит безопасность и эффективность ведения аквакультуры.
Сотрудниками Лаборатории совместно с сотрудниками ДВФУ, ТОИ ДВО РАН и ТИГ ДВО РАН проводятся комплексные исследования, направленные на оценку уровня загрязнения и токсичности морских донных осадков. Морские донные осадки играют важную роль в функционировании водных экосистем, в них происходит трансформация органического вещества и накопление биогенных элементов. Кроме того, морские отложения аккумулируют широкий спектр загрязняющих веществ с поверхности Земли и в результате атмосферного переноса. Использование биологических методов оценки токсичности донных осадков позволяет оценить совокупное воздействие всего комплекса загрязняющих веществ, содержащегося в исследуемом образце, с учетом синергических, антагонистических и аддитивных взаимодействий между поллютантами. Эмбрионы и личинки морских ежей широко используются в качестве тест-организмов для оценки репродуктивного, цитогенетического и тератогенного воздействия загрязненных морских прибрежных осадков.

Значения Модифицированного индекса степени загрязнения (mCd) и Индекса токсического риска (TRI) для проб донных отложений, отобранных в заливе Восток в 2015 и 2020 годах.
В рамках исследований в образцах донных осадков проанализирован широкий спектр загрязняющих веществ, а именно тяжелые металлы и мышьяк, полиароматические углеводороды (ПАУ), полихлорированные бифенилы (ПХБ), а также хлорорганические пестициды (ХОП). На основе полученных концентраций проведены расчеты потенциальных уровней токсичности исследуемых осадков. Для более полной оценки риска токсического воздействия на морских гидробионтов применён комплексный подход к биотестированию, основанный на использовании батареи биотестов, включающей диатомовую микроводоросль Phaeodactilum tricornutum (Bohlin, 1897), науплиусов жаброногого ракообразного Artemia salina (Linnaeus, 1758), а также эмбрионов и личинок плоского морского ежа Scaphechinus mirabilis (Agassiz, 1864). Проводятся регулярные мониторинговые работы по оценке загрязнения и токсичности донных осадков залива Петра Великого (зал. Восток, зал. Находка, зал. Посьета, Уссурийский и Амурский заливы, акватории о. Попова и о. Рейнеке), а также западного и восточного побережья п-ова Камчатка, включая Авачинский залив. Выполнены работы по актуализации данных о загрязнении и потенциальной токсичности донных осадков зал. Восток тяжелыми металлами и мышьяком в 2015 и 2020 гг. Следует подчеркнуть, что оценка концентрации ТМ в донных отложениях залива была представлена лишь в единичном исследовании (Khristoforova et al., 2004). Бухты Гайдамак (V1, V2) и Средняя (V3, V4) (западное побережье залива), подтвердили свой статус наиболее загрязненных зон (рис.1), что согласуется с данными из предыдущих исследований. Однако несмотря на это, наблюдается общее снижение концентраций большинства ТМ и As по сравнению с более ранними данными. В дальнейшем планируется исследовать влияние ключевых абиотических факторов (таких как температура, pH, солёность) в условиях глобального изменения климата на токсичность загрязняющих веществ.
В ходе эволюции у морских беспозвоночных с наружным оплодотворением и питающимися (планктотрофными) личинками выработался ряд репродуктивных адаптаций, обеспечивающих успешность размножения. Для многих таких видов характерен годовой репродуктивный цикл с нерестом, приуроченным к сезону с оптимальными условиями для развития потомства – температурой и соленостью воды, наличием пищи для потомства. Синхронизация нереста у особей разных полов в пределах одного поселения чрезвычайно важна для успешности воспроизводства вида, что обусловлено малой продолжительностью жизни половых клеток во внешней среде и быстрым разбавлением гамет. Следовательно, для успешного оплодотворения необходим внешний стимул, который бы обеспечивал одновременный выброс гамет в воду у достаточного количества особей обоих полов.
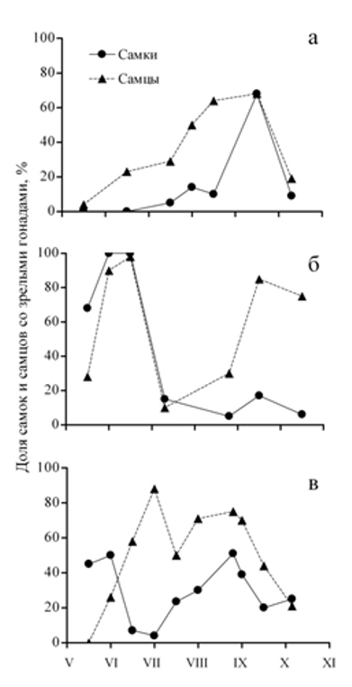
Сотрудники Лаборатории совместно с сотрудниками Тихоокеанского океанологического института им. В.И. Ильичева ДВО РАН исследовали репродуктивные адаптации морского ежа Strongylocentrotus intermedius – вида с планктотрофной личинкой – к факторам среды (температура, соленость, уровень первичной продукции, уровень антропогенного загрязнения, фазы луны). Многолетние (2003–2015 гг.) исследования репродуктивных циклов морских ежей S. intermedius в природных поселениях, расположенных в северо-западной части Японского моря на протяжении 400 км побережья Приморского края, выявили 3 типа поселений S. intermedius, различающихся сроками нереста – ярко выраженным осенним нерестом, ярко выраженным раннелетним нерестом и поселения с двумя пиками нереста, раннелетним и осенним (рис. 1).

Рис. 1. Сезонная динамика созревания половых клеток у морского ежа Strongylocentrotus intermedius из поселений 3 типов в северо-западной части Японского моря: а– поселения с ярко выраженным осенним нерестом; б – поселения с ярко выраженным раннелетним нерестом; в – поселения с двумя пиками нереста, раннелетним и осенним.
Показано, что поселения S. intermedius второго типа расположены в прибрежной зоне, прилегающей к г. Владивосток (рис. 2). Поскольку антропогенное загрязнение сопряжено с эвтрофикацией прибрежных морских вод, была выдвинута гипотеза о том, что сдвиг стадий репродуктивного цикла и различные сроки нереста в разных поселениях морских ежей S. intermedius могут быть обусловлены их адаптацией к условиям обитания в среде с высоким уровнем первичной продукции, то есть с высокой концентрацией фитопланктона – пищи для личинок морских ежей.

Рис. 2. Доля самок морского ежа Strongylocentrotus intermedius, нерестящихся ранним летом (светлые столбики) и осенью (темные столбики) на разных станциях в водах Японского моря у берегов Приморского края (по данным 2003–2010 гг.).
С целью проверки этой гипотезы было исследовано состояние гонад S. intermedius на протяжении 3 репродуктивных циклов (2008–2011 гг.) в районе, не подверженном антропогенному загрязнению (б. Киевка). Обнаружено, что, несмотря на ежегодное созревание гонад в июле–августе, в некоторые годы нерест отсутствовал у почти всей (95% не отнерестившихся самок в 2008 г.) или большей части (53% не отнерестившихся самок в 2009 г.) популяции морского ежа. В сентябре начиналась массовая деструкция невыметанных яйцеклеток, который распадались на мелкие фрагменты (рис. 3).

Рис. 3. Встречаемость явления отсутствия нереста в поселениях морского ежа S. intermedius в северо-западной части Японского моря. Доля не отнерестившихся самок обозначена белым цветом. На врезке – деструкция невыметанных яйцеклеток (мазок гонады).
Самцы также не нерестились полностью. Резорбция невыметанных гамет (очистительные процессы) продолжалась в течение 7 мес, тогда как в случае нормального нереста морских ежей эти процессы занимают 2–3 мес. Только 1 из 3 исследованных репродуктивных циклов S. intermedius закончился полным нерестом (в 2010 г.). Явление отсутствия нереста было обнаружено и в других поселениях морского ежа S. intermedius в северо-западной части Японского моря (рис. 3). Сoпоставление результатов оценки полноты нереста морских ежей в этих поселениях с данными спутникового мониторинга о температуре поверхностного слоя воды и уровне продукции фитопланктона (определенного как концентрация хлорофилла а) показало, что успешность нереста S. intermedius зависит от уровня продукции фитопланктона.
Дальнейшие исследования с высоким временным разрешением динамики состояния гонад S. intermedius в районах с различным уровнем первичной продукции (б. Алексеева (о. Попова) – высокий, б. Киевка – низкий) в течение репродуктивного сезона, видеорегистрация событий нереста и анализ сезонной и суточной динамики факторов среды (уровень прилива, фитопланктон, температура, соленость, концентрация кислорода, время суток и фазы лунного цикла) в местах обитания животных позволили установить иерархию биотических и абиотических факторов, участвующих в регуляции нереста морского ежа.
(1) Фитопланктон является наиболее важным фактором, поскольку в условиях низкой концентрации фитопланктона нерест в популяциях S. intermedius отсутствует (2) Увеличение концентрации фитопланктона стимулирует двигательную активность и нерест у самцов морских ежей, тогда как для стимуляции нереста у самок необходимы как повышенный уровень фитопланктона, так и сперма. Кроме того, (3) ночное время и фазы новолуния и полнолуния увеличивают вероятность нереста S. intermedius, вероятно, за счет повышения чувствительности морских ежей к фитопланктону.
Изучение репродуктивного поведения других видов донных беспозвоночных с планктотрофной личинкой (морского ежа Mesocentrotus nudus и дальневосточного трепанга Apostichopus japonicus) выявило сходную иерархию факторов, стимулирующих их нерест. Применение метода видеорегистрации событий нереста параллельно с регистрацией факторов среды перспективно для выявления стимулов, запускающих нерест в популяциях беспозвоночных с внешним оплодотворением.
Ещё одно направление лабораторных исследований касается биохимических механизмов формирования устойчивости двустворчатых моллюсков к повышенному уровню накопления металлов в среде. Надо отметить, что работ, рассматривающих не только изменения внутриклеточного распределения металлов, но и морфологические изменения клеток гидробионтов при высоком уровне накоплении тяжелых металлов in situ, практически нет. Между тем, только такой комплексный подход позволяет оценить направленность клеточных процессов – на адаптацию или деструкцию и дальнейшую гибель клеток. Подобные исследования крайне сложно провести в природных условиях, так как в природной среде загрязнение тяжёлыми металлами либо недостаточно, чтобы вызвать явный отклик клеточных металл-связывающих структур в клетках гидробионтов, либо в морской среде присутствует комплекс токсикантов, что дополнительно активизирует/подавляет реакцию защитных систем организма. Сотрудниками Лаборатории обнаружен подходящий полигон для исследования адаптационных возможностей двустворчатых моллюсков – акватория Курильских островов, где в результате действия мощного стационарного апвеллинга и вулканической активности образовалась зона с высоким содержанием тяжелых металлов, в особенности кадмия, в среде и живых организмах. Выявлены особенности структурно-функциональных перестроек клеток мидий Грея в экспериментальных акваториях. В фоновых условиях в нефроцитах мидий Грея иммобилизация тяжёлых металлов происходит в основном за счет лизосомальных гранул, то есть эти процессы идут наименее энергозатратным путём, тогда как в природной импактной зоне (апвеллинг) аномальное накопление Cd в почках мидий ведёт к синтезу повышенного уровня МТПБ. Обнаружено, что в этих условиях в почках мидий запускается уникальный адаптационный механизм — апокрин-подобная секреция, обеспечивающая быстрое выведение комплексов металл-МТПБ из клетки и, соответственно, быстрое снижение уровня тяжелых металлов в нефроцитах. В то же время, защитные механизмы мидий, обитающих в условиях экстремального загрязнения, оказались практически подавлены суммарным действием аккумулированных токсикантов, что привело к деградации клеточных структур (рис. 1).

Рис. 1. Нефроциты мидии Грея Crenomytilus grayanus из районов с повышенным содержанием тяжелых металлов в среде природного и антропогенного происхождения
В настоящие время ведутся исследования морфо-функциональных изменений двустворчатых моллюсков в зонах стационарного и сезонных апвеллингов, а также в районах, испытывающих антропогенное загрязнение.
В дальнейшем планируется изучить корреляции между уровнем биоаккумуляции металлов в тканях и изменением физиологических, биохимических, генетических и других жизненно важных показателей у двустворчатых моллюсков из природных импактных зон. Линейка будет расширена за счет моллюсков из еще одной природной импактной зоны — зоны действия сезонных апвеллингов, где гидробионты обитают в условиях регулярных колебаний уровня ряда тяжелых металлов, главным образом кадмия. Ранее у моллюсков из этого района сотрудниками лаборатории было обнаружено уникальное изменение характеристик холинэргической системы (Кавун и др. 2011).
Сотрудниками Лаборатории изучаются изменения микроэлементного состава двустворчатых моллюсков в связи с изменениями климата. Известно, что изменение климата приводит к интенсификации апвеллинга и подкислению вод Мирового океана, что может привести к увеличению перемещения Cd из осадка в поверхностные слои морской воды и, соответственно, повышению биодоступности для морских организмов. Сотрудниками лаборатории исследовано накопление тяжелых металлов у массового вида двустворчатых моллюсков Beguina semiorbiculata, обитающих в прибрежных водах Вьетнама, подверженных действию сезонных апвеллингов (рис. 2). Показано, что в прибрежных водах Вьетнама наземный сток, выбрасывающий антропогенно загрязненные воды в морскую среду, является основным фактором, определяющим содержание Fe, Cu, Pb, Mn и Ni в мягких тканях B. semiorbiculata. Напротив, пространственное распределение Cd, вероятно, определяется сезонными апвеллингами (центральная часть побережья Вьетнама) и формой Cd в более тонких отложениях (Сиамский залив) (рис. 3). Таким образом, накопление Cd двустворчатыми моллюсками, обитающими в зонах, подверженных воздействию апвеллингов (на примере прибрежных рифов Вьетнама), может в значительной степени определяться климатическими изменениями. Изменения климата могут сочетаться с другими источниками экологического стресса, такими как загрязнение прибрежных регионов, характеризующихся сильными колебаниями температуры и рН. Увеличение парциального давления CO2 и снижение pH приводят к растворимости следовых металлов из металл-гидроксидных и металлокарбонатных комплексов, что способствует перемещению следовых металлов из загрязненных осадков в морские воды. Следовательно, распределение Cd в гидробионах, обитающих в зонах действия апвеллингов, должно строго контролироваться, так как прогнозируемый риск изменения климата может вести к дальнейшему увеличению биодоступности Cd для обитателей подобных районов.

Рис. 2. Расположение района исследований: 1 – места отбора проб; стрелками показаны поверхностные течения Южно-Китайского моря летом (2) и зимой (3); серые стрелки с цифрами обозначают наблюдаемый сброс речных отложений ( млрд. тонн в год) с полуострова Индокитай на западе и Южного Китая на севере. 1 – бухта Дайя; 2 – залив Бэйбу.

Рис. 3 Пространственное распределение кадмия (мкг/г сух. массы) в тканях двустворчатого моллюска Beguina semiorbiculata (Linnaeus, 1758) из прибрежных рифов Вьетнама. CdCl2, CdCl+, Cd2+ - основные биодоступные формы кадмия
Среди широкого спектра исследований адаптации, онтогенеза и эволюции морских организмов заслуживает внимание изучение механизмов морфо-физиологических адаптаций зрительной системы низших позвоночных. Сотрудниками Лаборатории совместно с сотрудниками ИППИ РАН и ряда зарубежных университетов исследованы морфологические особенности фоторецепторов и спектральная чувствительность сетчатки глаза, связанные с различиями в поведении и условиях обитания, у более 50 видов прибрежных и пелагических рыб. У некоторых видов выявлена региональная специализация в распределении нескольких типов зрительных пигментов по сетчатке и присутствие колбочек, максимально чувствительных к ультрафиолету (корюшки, сардина-иваси, японский анчоус) (Рис. 1, 2). У последних двух видов впервые показано хорошее соответствие между микроспектрометрическими характеристиками пигментов и данными о молекулярных типах зрительных белков-опсинов. Нами показано, что анчоусы имеют уникальное сочетание двух модальностей зрения, не встречающееся ни у какого другого представителя позвоночных животных. Проведенное впервые исследование зрительных пигментов и строения фоторецепторов японского анчоуса показало, что у этого вида цветовое зрение менее развито по сравнением с большинством пелагических и прибрежных видов рыб, однако наличие его в дорзальной и вентральной частях сетчатки сочетается с возможной чувствительностью к поляризованному свету в центральной области сетчатки. Такая специализация существенна для обеспечения жизненных потребностей анчоусов, так как формируются уже на личиночных стадиях развития. Полученные результаты важны для понимания процесса эволюции зрительных пигментов и адаптации зрения к условиям освещения в море.

Рис. 1. Региональная специализация спектральной чувствительности сетчатки малоротой корюшки.

Рис. 2. Разные типы колбочек японского анчоуса. В верхнем левом углу – тройная колбочки.
Продолжен многолетний цикл исследований уникального физиологического механизма оптики глаза рыб – переменной окраски роговицы, впервые открытого сотрудниками лаборатории в 1976 году, и обнаруженного в настоящее время у более чем 100 видов морских и пресноводных рыб. Это явление заключается в том, что в зависимости от уровня освещенности, окраска роговицы обратимо изменяется от полностью бесцветной в темноте, до желто-оранжевой на свету. Эти обратимые изменения происходят за счет перераспределения каротиноидных пигментов в специализированных хроматофорах, расположенных в строме роговицы. Особенно развит этот механизм у нескольких видов терпугов из сем. Hexagrammidae (Рис. 3). В последнее время получены новые данные о спектральной чувствительности фоторецепторов, типах зрительных пигментов и их хромофорных группах, и о развитии описанного механизма в онтогенезе. Предполагается, что данный сервомеханизм механизм служит своеобразным “экраном” от яркого света на мелководье.

Рис. 3. Роговицы терпуга. Роговица бурого терпуга в разном состоянии световой адаптации.
При использовании бесхвостых амфибий как модельных объектов для изучения механизмов цветового зрения было показано, что колбочки и два типа палочек сетчатки (”зеленые” и “красные”) включены в систему цветового зрения таким образом, что в разных типах поведения (брачное, охотничье, фототаксис) роль палочек (и, соответственно, зрительных нервных путей к мозгу) специализирована. В первых двух типах трихроматическое зрение ограничено порогом мезопического (сумеречного) освещения, а при более низкой освещенности оба типа палочек работают совместно и в реакции фототаксиса дихроматическое цветоразличение до предельно низкого уровня (на 4-5 порядков ниже, чем у человека).
Ещё одно направление исследований в области физиологии зрения касается остроты зрения и зрительных специализаций у низших позвоночных. Сотрудниками лаборатории совместно с сотрудниками лаборатории сравнительной цитологии изучена пространственная организация нейронов сетчатки у ряда видов рыб и амфибий разных таксономических и экологических групп. Выявлены специализированные зрительные зоны. На основе полученных данных с учётом оптической геометрии глаз выполнена оценка остроты зрения. Выдвинуты гипотезы о филогенетических и экологических факторах, связанных с вышеуказанными особенностями зрения у изученных видов позвоночных. К примеру, исследованы топография ганглиозных клеток сетчатки и пространственное разрешение у двух видов малоротых корюшек, японской и морской. У обоих видов обнаружен выраженный локальный пик пространственной плотности ганглиозных клеток в темпоральной сетчатке, т.н. area retinae temporalis, при этом зрительная полоска отсутствует либо слабо выражена. Отсутствие выраженной зрительной полоски у обоих видов может объясняться их стайным образом жизни, значительно усложняющим зрительную среду, повышенной мутностью воды в их естественных биотопах, а также балансом планктона и бентоса в их рационе. Присутствие area retinae temporalis также отвечает биологии изученных видов — активных стайных хищников. Невысокое пространственное разрешение сетчатки обоих видов (2.7–2.8 циклов на градус), вероятно, связано с их стайным образом жизни, сужающим горизонт эффективной детекции добычи и хищников. Показано, что у морской корюшки чувствительные к ультрафиолету колбочки локализованы в основном в темпоральной сетчатке. В этой же части сетчатки расположена area retinae temporalis, а зрительная полоска достигает максимального выражения (Рис. 4). Известно, что основой питания данного вида является зоопланктон, хорошо заметный именно в ультрафиолетовом диапазоне. Таким образом, повышенная коротковолновая чувствительность и присутствие «ультрафиолетовых» колбочек в темпоральной сетчатке, вероятно, объясняются их участием в детекции и поимке добычи.

Рис. 4. Слева — максимумы спектральной чувствительности пигментов колбочек в разных зонах сетчатки морской корюшки. Красный пунктир — темпоральная сетчатка. Т, N – темпоральный и назальный полюсы сетчатки. Справа — топография ганглиозных клеток сетчатки морской корюшки. Зоны разной пространственной плотности показаны разными оттенками серого. Т, Д — темпоральный и дорсальный полюсы сетчатки.








